F test

The F-test is a statistical method used to compare two or more models to determine if they significantly differ in their ability to explain the variance in a dependent variable. It is commonly applied in regression analysis and ANOVA (Analysis of Variance). The test evaluates the ratio of variances between models, helping to ascertain whether a more complex model provides a statistically significant improvement over a simpler one. By formulating null and alternative hypotheses, the F-test allows researchers to make informed decisions about model selection based on the calculated F-statistic and corresponding p-value, guiding them in their analysis.

The F-Test for Regression Analysis

 Towards Data Science

The F-test, when used for regression analysis, lets you compare two competing regression models in their ability to “explain” the variance in the dependent variable.

📚 Read more at Towards Data Science
🔎 Find similar documents

How Useful is F-test in Linear Regression?

 Towards Data Science

The F-test statistic for joint significance of the slope coefficients of a regression is routinely reported in regression outputs, along with other key statistics such as R² and t-ratio values. The…

📚 Read more at Towards Data Science
🔎 Find similar documents

Comparison of F-test and mutual information

 Scikit-learn Examples

Comparison of F-test and mutual information This example illustrates the differences between univariate F-test statistics and mutual information. We consider 3 features x_1, x_2, x_3 distributed unifo...

📚 Read more at Scikit-learn Examples
🔎 Find similar documents

Uncovered Interest Rate Parity and F-test on Regression Parameters using R

 R-bloggers

This post explains how to perform the F-test of joint parameter restrictions on a linear regression model. As an example, we use the data in Chen and Tsang (2013), who introduce so called relative Nel...

📚 Read more at R-bloggers
🔎 Find similar documents

Test Fixtures and a Decorator for Explicit Waits

 Test-Driven Web Development with Python

Now that we have a functional authentication system, we want to use it to identify users, and be able to show them all the lists they have created. To do that, we’re going to have to write FTs that ha...

📚 Read more at Test-Driven Web Development with Python
🔎 Find similar documents

Non-functional testing

 Software Architecture with C plus plus

What we've already covered are so-called functional tests. Their aim is to check whether the system under test fulfills the functional requirements. But there are also other types of requirements besi...

📚 Read more at Software Architecture with C plus plus
🔎 Find similar documents

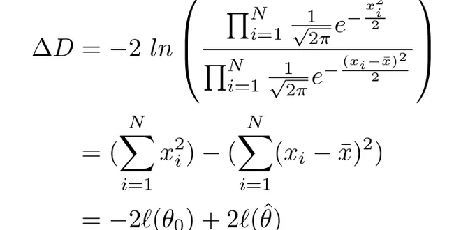
The Most Important Statistical Test

 Towards Data Science

The likelihood ratio test (LRT) “unifies” frequentist statistical tests. Brand-name tests like t-test, F-test, chi-squared-test, and so on are specific cases (or even approximations) of the LRT…

📚 Read more at Towards Data Science
🔎 Find similar documents

Testing

 FastAPI Documentation

Testing Thanks to Starlette , testing FastAPI applications is easy and enjoyable. It is based on Requests , so it's very familiar and intuitive. With it, you can use pytest directly with FastAPI . Us...

📚 Read more at FastAPI Documentation
🔎 Find similar documents

The Lesser-Known, AWESOME Signs Test

 Towards Data Science

We are all familiar with the T-test, maybe the F-test, and maybe even some others like Wilcox rank-sum tests and things of that nature. There are a lot of statistical tests, some of which we all use…

📚 Read more at Towards Data Science
🔎 Find similar documents

T test in R

 R-bloggers

In this post, you will learn what a T Test is and how to perform it in R. First, you’ll see a simple function that lets you perform the test with just one line of code. Then, we will explore the intui...

📚 Read more at R-bloggers
🔎 Find similar documents

Testing functional specification in linear regression

 R-bloggers

Another one from the series on “misspecified regression models” (started with Model Misspecification and Linear Sandwiches). Intro Lately I’ve been messing around with the {lmtest} R package, a nice c...

📚 Read more at R-bloggers
🔎 Find similar documents

F-statistic: Understanding model significance using python

 Analytics Vidhya

In statistics, a test of significance is a method of reaching a conclusion to either reject or accept certain claims based on the data. In the case of regression analysis, it is used to determine…

📚 Read more at Analytics Vidhya
🔎 Find similar documents